Emily Willingham
biologyfiles.fieldofscience.com
We began by failing our son, TH. We failed to be vigilant enough about his reputation. We were lax in monitoring the growing perception of him as a bully, while simultaneously, he was on the receiving end of bullying all day, every day. His reputation as a bully spread beyond the school walls and playground boundaries, leaking into our neighborhood, speeding through wires and wireless, the talk of the bus stops. His size, his odd behaviors, his loud and unexpected non-sequiturs, and his violations of personal space drove the rumors on. When we learned all of this, we were devastated. Then, we heard about the Circle of Friends (COF) program.
The basic principle of this program is that placing knowledge in the hands of others also means giving them understanding and compassion. For us, that meant that somehow, we had to get across to our son’s classmates, and by extension their parents, as much information about our son as possible. We had to reconstruct people’s attitudes about TH, and in this case, because we’d let it go so long, we had to do it across all classrooms in his grade.
What is this circle? Parents present information about their child to their child’s peers, telling the children more about that child’s specific expression of their different ability or disorder. After the children have heard the information, they can choose whether or not they want to become a part of that child’s official Circle of Friends. These are not friends out of pity, but real friends who do what real friends do: play, interact, support, advise, and guide.
Initiating a COF program takes three basic steps, all modifiable to personal requirements. The first step is the presentation to peers, involving the parent and possibly the school counselor or perhaps a special education specialist. Second is the letter that goes home to parents, explaining COF and requesting permission for a child who’s interested to participate. Finally, there is the follow-up. While step one is nerve wracking and can be extremely painful (more on that later), this last step requires the most energy and is most variable. It can consist of arranged activities with the friends, either at school or outside of school, with (preferably) or without assistance from school personnel, but all parent organized and guided. This phase also should involve appropriate thank-you notes and updates as needed for the parents of children who joined the circle.
Step 1: The Painful, Nerve-Wracking Part
Our biggest up-front role for this program was presenting our information about our son to his peers. Because we’d let things get so out of hand, we made five of these presentations in a single day, to each class in his grade. First, we presented a slide show about TH to the children, one that TH had reviewed and approved. The counselor explained what autism is. I brought a PowerPoint slide set with pictures of TH doing the things he loves most: studying nature close up, collecting bugs, playing on the beach, doing art, playing chess. I also included pictures of his hugging his baby brother and helping his brothers.
With this approach, kids make a connection. They learn about commonalities in that part of the presentation, and they learn about differences. For example, TH’s special ed teacher talked with them about some of TH’s behaviors that they might find confusing, and we talked through some of them. The children were most enthusiastic about the pictures of TH doing things that were familiar to them. Indeed, you may find it difficult, as we did, to limit the time apportioned to this part because children are so excited about sharing their own experiences with these familiar activities.
One thing to prepare for is brutal honesty. Children are just like that. We heard many negative comments about our son, but we took them as an opportunity to explain what the behavior the child was describing might have meant coming from TH, and how to deal with it (i.e., if he said something odd that they didn’t understand, they could simply tell him that, as a friend).
Step 2: The Permission Slip
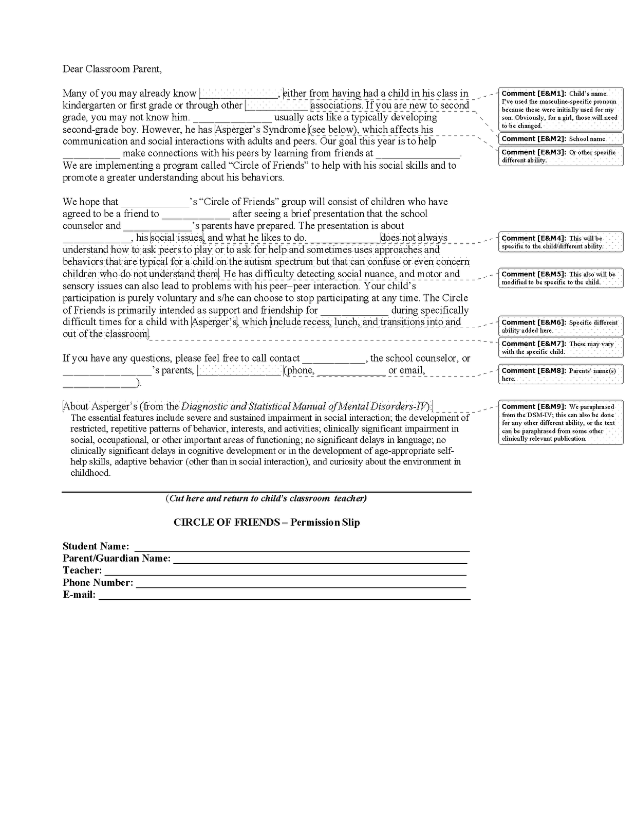
The permission slip (click the link for a sample) contained a carefully worded explanation of what we were doing and why. We included a clinical definition of Asperger’s and gave some examples of TH’s social behaviors that might come across the wrong way. We defined COF and its goals. One thing that we didn’t do that I think would have been useful was to include a longer outline of the program on the back of the letter. At the bottom was a simple permission slip for the parents to fill in and sign and our contact information if they had questions.
Part 3: Implementation and Follow-Up
This is the implementation and “thank-you” phase. Depending on the involvement of your school, you may be able to arrange small-group activities at lunch or on the playground with kids who have signed up to be Friends. This part is, however, largely the parent’s responsibility to follow up on and arrange. There are any number of COF activities that you can arrange with parents and their children who have signed onto the program, from meeting at a playground to having “lunch bunches” to bowling or walking a nature trail. Finally, we also had the COF plan read into the minutes of our IEP meeting.
How did it turn out?
In the short run, this program was a huge success for our son. Overall, the children were attentive, curious, and pretty thoughtful. About 40 permission slips came back, agreeably signed. The letter apparently sparked numerous dinner-table conversations about differences and understanding. One of the parents who had complained, belligerently, about our son told a neighbor that he now “felt small” knowing the reality of the situation. We heard feedback like, “This helps us understand so much better,” and “I’m hearing so many good things about the letter,” and “I’m so glad to know more about this.”
TH’s teacher reported that the entire tenor of the classroom changed since we presented, almost immediately. Children didn’t react strongly or negatively to some of the strange things TH did or said. They seemed to understand him better. TH himself seemed more at ease: less flapping, more focus, less humming and vocalizing.
In the long run, however, it fizzled. When TH entered third grade, the classes shifted around from teacher to teacher through the school day, and the student makeup of each class differed. With TH no longer in a self-contained classroom with the same cohort, he was once again immersed in groups of children who didn’t know him well, who didn’t understand him, and who simply did not like him. We removed him halfway through third grade to homeschool him because the school could not rein in the bullying of our son.
That said, I think there are situations in which COF could work in the long term. Certainly, for children in smaller schools and/or self-contained classes, it probably would remain effective over the years. Also, possibly in a different sort of school and district, one that places a greater emphasis on compassion and understanding and less of an emphasis on competition and perfection, something our district is known for and is, I’d say, proud of. Regardless of our long-term outcome, our presentation of COF for our son resulted in the best year of school he’s had, one in which people were truly his friends, one in which he thrived. Even in the short term, that’s a payoff that was worth it. In the long term, perhaps some of those children who listened that day will remember what they heard.
If you’d like more information about COF or documents that explain the program and provide prototypes for the letter and other information, please get in touch with me or see my blog. This program can be a profound way to achieve important change at the individual and community level, and I’d like to see it spread faster than a rumor on a hot parental grapevine.
